Trở lại
Chia sẻ
Cơ chế hoạt động của Cysteamine trong điều trị nám

Cơ chế hoạt động của Cysteamine trong điều trị nám

Cysteamine là cái tên được nhắc đến rất nhiều trong các Hội nghị Khoa học về Da liễu thời gian gần đây. Mang trên mình...

Cysteamine là cái tên được nhắc đến rất nhiều trong các Hội nghị Khoa học về Da liễu thời gian gần đây. Mang trên mình nhiều mong đợi và kỳ vọng to lớn từ các bác sĩ da liễu, liệu Cysteamine có xứng đáng là hoạt chất điều trị nám triển vọng trong tương lai? Cùng khám phá về cơ chế hoạt động của Cysteamine trong điều trị nám qua bài viết bên dưới để có câu trả lời nhé!

Tổng quan về Cysteamine

Nguồn gốc Cysteamine

Cysteamine (còn được gọi là 2-mercaptoethylamine hay 2-Amino­ethane­thiol hoặc là β-Mercapto­ethylamine) là một Aminothiol được tổng hợp nội sinh bởi các tế bào của cơ thể người trong chu trình chuyển hóa Coenzyme A (một phân tử trung tâm trong chu trình chuyển hoá, có vai trò oxy hóa các acid béo của cơ thể).

Để hiểu rõ hơn bản chất Cysteamine, hãy cùng đi nhanh qua về Aminothiol. Aminothiol là một thuật ngữ dùng để chỉ một hợp chất có chứa nhóm Amino (NH2) và Thiol (SH). Từ cấu trúc hoá học đặc biệt này cho phép Aminothiol tham gia vào nhiều phản ứng hoá học khác nhau và các phản ứng sinh học đặc biệt trong cơ thể người và động vật.

Hai cái tên quen thuộc Glutathione và Cysteine cũng là một trong những Aminothiol quan trọng và phổ biến được cơ thể người tổng hợp nội sinh. Các Aminothiol đóng góp vào nhiều vai trò rất quan trọng trong cơ thể người như chống oxy hoá, thải độc, điều tiết các phản ứng hoá sinh của tế bào,…

chuyển hóa nội sinh hình thành cysteamine trong cơ thể
Quá trình chuyển hoá nội sinh trong cơ thể hình thành nên Cysteamine và một số Aminothiol khác

Riêng về Cysteamine, nó hoạt động như một chất chống oxy hóa nội sinh và cũng được biết đến với vai trò bảo vệ tế bào. Nhờ khả năng chống oxy hóa mạnh mẽ và được trải qua vài thập kỷ nghiên cứu in vivo và in vitro, Cysteamine đã chính thức được xác nhận là một trong những hoạt chất giảm sắc tố mạnh nhất hiện có.

Lịch sử & Đặc tính

Năm 1953: Cysteamine được phát hiện là một trong những dẫn xuất thiol mạnh nhất trong việc bảo vệ chống lại bức xạ ion hóa. Nhiều nghiên cứu đã thử nghiệm tác dụng bảo vệ phóng xạ và cơ chế hoạt động của hợp chất này bằng cách sử dụng các dòng tế bào từ cơ thể người, vi khuẩn, và chuột.

Năm 1976: Cysteamine lần đầu tiên được sử dụng để điều trị bệnh Cystinosis (rối loạn bài tiết cystine), được Reviewed By FDA và thương mại hóa vào những năm 1990. Cho đến nay, Cysteamine là liệu pháp cụ thể và duy nhất nhắm thẳng đến các bệnh nhân mắc bệnh Cystinosis. Đây cũng chính là ứng dụng quan trọng và phổ biến nhất của Cysteamine trong y học.

Từ những năm 1990: Cysteamine bắt đầu được nghiên cứu trong lĩnh vực da liễu và được nhiều nghiên cứu chứng minh về hiệu quả lâm sàng trong điều trị rối loạn sắc tố da nhờ sở hữu cơ chế hoạt động độc đáo. Tuy nhiên, đặc tính của Cysteamine vốn có vị đắng và mùi khó chịu, tính chất hóa học không ổn định, tính hút ẩm và hồ sơ dược động học kém của Cysteamine hạn chế hiệu quả của nó trong mỹ phẩm và thuốc bôi thoa.

Mãi đến thời gian gần đây, một số công nghệ được ứng dụng thành công nhằm khử mùi và ổn định tính chất của Cysteamine. Nhờ đó, Cysteamine đang bắt đầu được ứng dụng trong ngành da liễu thẩm mỹ và nhận được nhiều mong đợi của các bác sĩ trong điều trị sắc tố da.

Tính chất của hoạt chất Cysteamine

Không chỉ điều trị sắc tố, Cysteamine còn có cơ chế cải thiện lão hoá vượt trội.

Khi xem đến đây, hẳn bạn cũng đã rõ vai trò quan trọng nhất của Cysteamine trong da liễu chính là điều trị các vấn đề rối loạn sắc tố da. Là hoạt chất có tính ức chế sắc tố mạnh mẽ, đó cũng là lý do Cysteamine đã được trải qua nhiều thập kỷ trong nghiên cứu ứng dụng vào sản phẩm bôi thoa điều trị nám.

Tuy nhiên, không chỉ dừng lại ở mỗi điều trị sắc tố, Cysteamine còn có cơ chế hoạt động mang lại khả năng ngăn ngừa và cải thiện các dấu hiệu lão hoá da. Một nghiên cứu cho thấy, các hợp chất Thiol như Cysteamine có khả năng hòa tan một lượng đáng kể Collagen không hòa tan ở da. 90% Collagen không hòa tan có thể được chiết xuất bằng 0,2 M Cysteamine.

Việc hoà tan các cặn collagen này sẽ giúp tăng đáng kể lượng Collagen cần thiết cho hoạt động nâng đỡ cấu trúc da và cải thiện các dấu hiệu lão hoá.thí nghiệm collagen hòa tan bằng cysteamine

2 mẫu collagen được trích xuất từ Collagen trong da. Hình A là Collagen được hoà tan bằng NaCl. Hình B là Collagen được hoà tan bằng Cysteamine

Tính chất tuyệt vời là thế, nhưng như chúng ta đã biết, Cysteamine có mùi rất khó chịu, thiếu ổn định và dược động học kém. Để hoạt chất này phát huy tác dụng hiệu quả trên da qua bôi thoa, cần lựa chọn sản phẩm có công nghệ tốt, nhằm cải thiện mùi, tính ổn định và dược động học của Cysteamine lên da.

Ứng dụng của Cysteamine trong y học

Với đặc tính của một Aminothiol, Cysteamine có khả năng tham gia vào rất nhiều phản ứng hoá sinh của cơ thể. Từ đó, hoạt chất này được ứng dụng trong đa dạng các lĩnh vực như:

  • Trong y tế nói chung: Cysteamine được ứng dụng trong điều trị bệnh Wilson và Cystinosis nhờ khả năng điều tiết và kiểm soát đồng và Cystine trong cơ thể, ngăn chặn sự huỷ hoại tế bào. Ngoài ra, Cysteamine còn được ứng dụng trong điều trị một số bệnh lý khác như xơ nang tụy (Cystic Fibrosis), bệnh Batten, bệnh Huntington và các bệnh nhiễm bức xạ.
  • Trong chuyên khoa da liễu: Cysteamine có phạm vi ứng dụng rộng rãi cho nhiều vấn đề bệnh sinh sắc tố từ nám, tàn nhang, rám má kháng trị, tăng sắc tố sau viêm, cả tăng sắc tố mắc phải và tăng sắc tố do nguyên nhân nội sinh, nám da do tổn thương màng đáy và lão hóa do ánh sáng. Bên cạnh đó, Cysteamine cũng có khả năng giải quyết thoái hoá mô đàn hồi do ánh sáng.

Cơ chế của Cysteamine trong điều trị nám

cơ chế cysteamine điều trị nám hiệu quả
Cơ chế của Cysteamine trong điều trị nám

Tổng quan về Quy trình hình thành sắc tố và Cơ chế hoạt động của Cysteamine trong điều trị nám

Tyrosinase là enzyme đóng vai trò rất quan trọng trong chu trình hình thành sắc tố, tham gia vào quá trình tổng hợp tất cả các loại melanins. Khi Tyrosinase được kích hoạt sẽ khởi động quá trình sản sinh melanin thông qua các phản ứng hoá học: Acid Amin Tyrosine bị oxy hoá -> DOPA -> DOPAquinone -> DOPAchrome/Cysteinyl-DOPA -> DHI/DHICA/Benzothiazine -> Melanin (Pheomelanin hay Eumelanin).

quy trình sản xuất sắc tố trong tế bào
Quy trình sản xuất sắc tố trong tế bào

Cụ thể, khi DOPAquinone chuyển hoá thành DOPAchrome, làn da sẽ có xu hướng hình thành sắc tố tối màu (nâu hoặc đen). Có 2 khả năng chuyển hoá trong DOPAchrome mang tính quyết định hình thái melanin:

  • DOPAchrome tự phát chuyển hoá thành DHI theo chu kỳ oxy hoá tự nhiên của cơ thể. Sau đó thông qua quá trình Polyme hóa Indole để hình thành nên sắc tố tối màu Eumelanin thể nâu.
  • DOPAchrome tiếp xúc với protein-2, một protein liên quan đến Tyrosinase có khả năng chuyển đổi DOPAchrome thành DHICA. Cũng như DHI, DHICA sau khi trải qua quá trình Polyme hóa Indole sẽ hình thành Eumelanin thể đen.

Dĩ nhiên không ai mong đợi da sẽ sản xuất nhiều Melanin tối màu. Một con đường khác sáng sủa hơn trong quá trình hình thành sắc tố, đó là khi DOPAquinone được hình thành.

Nếu giai đoạn này có sự góp mặt của Cysteine và Glutathione, sẽ tạo nên phản ứng mới và hình thành Cysteinyl-DOPA thay vì DOPAchrome. Cysteinyl-DOPA sau khi qua chuyển hoá thành Benzothiazine sẽ hình thành nên sắc tố sáng màu Pheomelanin mang màu sắc vàng hoặc trắng hồng tuỳ theo chủng tộc.

các hình thái melanin đa dạng theo chủng tộc
Các hình thái Melanin đa dạng theo chủng tộc

Chính vì cơ chế đó, sắc tố da sẽ được quyết định bởi tỷ lệ giữa Eumelanin và Pheomelanin trong cơ thể, Pheomelanin cao hơn sẽ quyết định hình thái làn da sáng màu hơn và ngược lại. Cũng chính vì vậy, nồng độ Cysteine và Glutathione được xem là yếu tố quan trọng trong việc quyết định tổng thể hình thái sắc tố da.

Nói đơn giản, việc hình thành sắc tố giống như sự vận hành của xã hội, khi đến thời điểm, những người trưởng thành phải đến lúc quyết định tương lai cho mình. Và cũng rất giống với câu “gần mực thì đen, gần đèn thì sáng”. Khi một người không lựa chọn mục tiêu gì cho tương lai mà để mọi thứ diễn ra tự nhiên, sẽ giống như quy trình hình thành Eumelanin thể nâu. Với một người lựa chọn sai hướng và tiếp xúc với nhiều “phần tử xấu” như protein-2 sẽ giống quy trình hình thành Eumelanin thể đen. Và lý tưởng hơn, khi một người chọn đúng hướng, gặp được những “người thầy tốt” như Cysteine & Glutathione sẽ giống quy trình hình thành Pheomelanin sáng sủa tốt đẹp.

Chính vì thế, cơ chế điều trị nám lý tưởng nhất chính là giảm bớt “phần tử xấu”, sản sinh thêm nhiều “người thầy tốt”, đồng thời kiểm soát “dân số” (DOPA) và để “xã hội sắc tố” trên da mỗi chúng ta tự vận hành một cách tốt đẹp.

cơ chế của cysteamine trong điều trị nám
Cơ chế của Cysteamine trong điều trị nám

Đó cũng chính là tổng quát về cơ chế của Cysteamine trong điều trị nám, hướng đến sửa chữa nhằm mang đến sự vận hành tốt đẹp, an toàn, ổn định và lâu dài từ chính cơ chế hoá sinh cốt lõi của tế bào. Khác biệt với Hydroquinone – có xu hướng huỷ diệt cả “xã hội sắc tố” chỉ vì một mắt xích sai lầm. Cùng xem chi tiết các cơ chế của Cysteamine trong điều trị nám bên dưới nhé.

Ức chế men Tyrosinase và Peroxidase

Với các bác sĩ hay những ai am hiểu về da liễu, cơ chế ức chế Tyrosinase vốn không còn quá xa lạ bởi đây là cơ chế chung của rất nhiều hoạt chất điều trị sắc tố khác như Arbutin, Kojic Acid, Azelaic Acid, Vitamin C,…Tuy nhiên, cũng cùng một cơ chế điều trị nám, làm được đến đâu và làm như thế nào mới là quan trọng.

Trong một nghiên cứu về cơ sở trao đổi chất và bằng chứng lâm sàng về tác dụng làm sáng da của các hợp chất thiol (các hợp chất thuộc nhóm cystein & glutathione), đã cho thấy Cysteine thể hiện tác dụng ức chế Tyrosinase mạnh nhất và có khả năng triệt tiêu hoàn toàn DOPAchrome.

Bên cạnh đó, Cysteine cũng ức chế hoạt tính Tyrosinase Hydroxylase trong u hắc tố, cũng như hoạt tính DOPA oxidase của Tyrosinase được đo bằng sự hình thành DOPAchrome. Vì thế, kết luận rằng, Cysteine là một trong những acid amin có phản ứng độc đáo nhất và có thể trực tiếp ức chế hoạt động của Tyrosinase, chứ không chỉ làm giảm sản xuất DOPAchrome.

Trong một nghiên cứu của Hisao và cộng sự, cho thấy các hoạt chất thiol chứa gốc Cysteine được ước tính là chất ức chế Tyrosinase mạnh hơn so với Acid Kojic, Glutathione và Arbutin mà không gây độc tế bào. Với Beta-Arbutin mang lại hiệu quả ức chế sắc tố đáng kể, tuy nhiên cũng giảm đáng kể khả năng sống của tế bào.

(a) Biểu đồ thể hiện khả năng ức chế sắc tố của các hoạt chất; (b) Biểu đồ thể hiện tính gây độc tế bào của các hoạt chất
(a) Biểu đồ thể hiện khả năng ức chế sắc tố của các hoạt chất; (b) Biểu đồ thể hiện tính gây độc tế bào của các hoạt chất

Bên cạnh đó, những nghiên cứu khác so sánh Cysteamine với Hydroquinone, công thức Kligman và Mesotherapy với Tranexamic Acid cũng cho kết quả rất khả quan.

Thống kê nghiên cứu so sánh hiệu quả kem bôi Cysteamine 5% với giả dược, công thức Kligman, Hydroquinone và phương pháp Mesotherapy với Tranexamic Acid
Thống kê nghiên cứu so sánh hiệu quả kem bôi Cysteamine 5% với giả dược, công thức Kligman, Hydroquinone và phương pháp Mesotherapy với Tranexamic Acid

Nghiên cứu so sánh Cysteamine 5% và công thức Kligman có ý nghĩa thống kê mạnh mẽ, trong đó phương pháp điều trị bằng Cysteamine làm giảm điểm số MASI ở mức độ lớn hơn (32,3% & 51,3%) so với công thức Kligman (23,7% & 42,3%) sau 2 và 4 tháng.

Với Hydroquinone, nghiên cứu so sánh giữa Cysteamine 5% và Hydroquinone 4% cho thấy Cysteamine giảm điểm số MASI 19,7% và 39,1% so với Hydroquinone là 39,2% và 33% trong 8 và 16 tuần. Điều này cho thấy Hydroquinone dung nạp tốt hơn Cysteamine, tuy nhiên về hiệu quả điều trị sau thời gian dài Cysteamine cho hiệu quả tương đương với Hydroquinone. Thay vào đó, Cysteamine điều trị nám an toàn và không có biến chứng nặng nề so với Hydroquinone.

Bên cạnh đó, nghiên cứu so sánh giữa Cysteamine 5% và Mesotherapy với Tranexamic Acid 0.05ml cho thấy hiệu quả tương đương giữa 2 phương pháp điều trị. Và dĩ nhiên, Cysteamine an toàn và ít xâm lấn hơn so với Mesotherapy.

Không chỉ ức chế Tyrosinase, Cysteamine còn ức chế Peroxidase – enzyme tác động đến bước cuối cùng trong phản ứng oxy hóa Indole để hình thành sắc tố tối màu Eumelamin.

Một điểm cộng nữa là tính an toàn của Cysteamine, cơ chế điều trị nám của Cysteamine sẽ ức chế Tyrosinase mạnh mẽ và triệt tiêu các DOPAchrome giúp Cysteamine mang lại hiệu quả cải thiện sắc tố vượt trội mà không gây độc tế bào hắc tố, khác với Hydroquinone gây độc và có nguy cơ giết chết tế bào hắc tố.

Ức chế Polyme hoá Indole

Nhắc lại một chút ở phần 1 về quy trình hình thành sắc tố: Acid amin Tyrosine bị oxy hoá -> DOPA -> DOPAquinone -> DOPAchrome/Cysteinyl-DOPA -> DHI/DHICA/Benzothiazine -> Melanin (Pheomelanin hay Eumelanin).

Chúng ta cũng đã biết, DHI và DHICA sau khi qua quá trình Polyme hóa Indole sẽ dẫn đến hình thành Eumelanin, quá trình này, được diễn ra bởi sự xúc tác của Tyrosinase và Peroxidase trong các túi DOPAchrome.

Cysteamine giúp ức chế Tyrosinase và Peroxidase, từ đó ức chế quá trình Polyme hóa Indole, ngăn hình thành sắc tố tối màu.

Quy trình từ DOPAquinone hình thành sắc tố tối màu
Quy trình từ DOPAquinone hình thành sắc tố tối màu

Vậy có gì khác so với cơ chế ức chế men Tyrosinase ở phần 1?

Tyrosinase tác động vào rất nhiều giai đoạn trong hình thành sắc tố, cả trước và sau khi các túi DOPAchrome được hình thành. Cysteamine không chỉ có khả năng tác động vào men Tyrosinase bên ngoài các túi DOPAchrome mà còn thâm nhập và tác động vào men Tyrosinase bên trong các túi DOPAchrome để ngăn chặn quá trình hình thành sắc tố tối màu Eumelanin. Đa tác động vào nhiều con đường hình thành sắc tố.

Chelat ion đồng và sắt

Trong quá trình chuyển hoá từ Tyrosine sang DOPA, ion Cu2+ (đồng) và ion Fe2+ (sắt) có mặt tại vị trí hoạt động của enzyme Tyrosinase, kích hoạt Tyrosinase tham gia chuyển hóa Tyrosine thành DOPA. Cysteamine có khả năng liên kết với ion đồng và sắt nhằm ngăn chặn kích hoạt Tyrosinase, hạn chế hình thành DOPA.

cơ chế cysteamine điều trị nám bằng chelat ion đồng
Cơ chế của Cysteamine trong điều trị nám bằng cách chelat ion đồng và sắt, tác động vào quá trình hình thành sắc tố

Cơ chế điều trị nám này của Cysteamine có giá trị cao về tính an toàn, bởi một hoạt chất nếu tập trung vào ức chế Tyrosinase một cách cực đoan sẽ có khả năng gây độc và ảnh hưởng đến khả năng sống của tế bào. Việc tác động đa nhiệm vào nhiều con đường liên quan đến Tyrosinase sẽ giúp đạt hiệu quả giảm sắc tố mạnh mẽ mà hạn chế gây độc tế bào.

Tăng Glutathione nội bào

Không chỉ dừng lại ở vai trò chống oxy hóa và bảo vệ tế bào, nhóm Cysteine còn có khả năng tổng hợp nhiều loại thiol khác nhau, đóng vai trò quan trọng trong việc duy trì cân bằng nội môi oxy hoá khử và chuyển hóa tế bào.

Trong đó, Glutathione là một thiol quan trọng đóng nhiều vai trò trong việc chống oxy hoá, thải độc và nhiều hoạt động sinh lý tế bào khác. Và một công dụng được ứng dụng nhiều nhất của Glutathione là làm sáng da. Cysteamine có khả năng tác động phản ứng hoá sinh để tạo ra các tiền chất tổng hợp Glutathione. Từ đó giúp tăng nồng độ Glutathione nội bào.

cơ chế cysteamine điều trị nám tăng glutathione nội bào
Cơ chế của Cysteamine trong điều trị nám thông qua việc tăng Glutathione nội bào

Và như chúng ta đã biết, Cysteine và Glutathione sẽ tác động vào quá trình chuyển đổi DOPAquinone sang Cysteinyl-DOPA, từ đó tăng hình thành sắc tố sáng màu. Quá trình chuyển hóa Glutathione có quan hệ mật thiết với việc tổng hợp Pheomelanin.

Dù không có tác dụng ức chế sản xuất melanin, nhưng glutathione làm tăng lượng pheomelanin và tỉ lệ pheomelanin/eumelanin mà không ảnh hưởng đáng kể đến hoạt động và biểu hiện của các men Tyrosinase và phản ứng hoá sinh khác trong cơ thể. Giảm thiểu nguy cơ tổn hại đến tế bào.

Chống oxy hoá

Vì sao chống oxy hoá lại liên quan đến cơ chế điều trị nám của Cysteamine? Hãy nhìn về nguồn gốc sâu xa hơn, nám da là một trong những biểu hiệu đặc thù của lão hoá, cụ thể là lão hóa da do ánh sáng. Việc ngăn ngừa và cải thiện các dấu hiệu lão hoá sẽ mang lại những cải thiện đáng kể trong điều trị nám.

Bên cạnh khả năng hòa tan các Collagen không hoà tan ở da, góp phần quan trọng trong việc tái cấu trúc da và nâng đỡ mô đàn hồi, cải thiện vấn đề sắc tố từ nguyên nhân thoái hoá mô đàn hồi do ánh sáng. Bản thân Cysteamine đã là một thiol với đặc tính chống oxy hóa mạnh mẽ và có khả năng thu dọn các gốc tự do, ngăn chặn mạnh mẽ cái dấu hiệu lão hoá.

Cụ thể, Cysteamine có thể làm giảm 33% khả năng sản xuất gốc tự do (ROS) trong các đại thực bào được kích thích bằng phorbol 12-myristate-13-acetate. Từ đó giúp cải thiện sắc tố và ngăn ngừa nguy cơ dội ngược sắc tố hiệu quả.

Song song đó, việc cải thiện cấu trúc da đi cùng với ức chế sắc tố sẽ mang lại hiệu quả điều trị trọn vẹn hơn. Bởi một làn da chùng nhão, kém đàn hồi, dù có ức chế sắc tố mạnh mẽ đến đâu cũng khó cảm nhận được tính thẩm mỹ của một làn da sáng, và khó đạt được sự hài lòng về kết quả điều trị của bệnh nhân.

Ảnh hưởng của công nghệ bọc với Cysteamine HCl trong điều trị sắc tố da

Như ở đầu bài viết, chúng ta cũng đã biết Cysteamine là một hoạt chất kém ổn định và dược động học khá kém. Tuy nhiên, với hiệu quả cải thiện sắc tố cao cùng tính an toàn và khả năng sử dụng lâu dài của nó đã khiến các nhà bào chế nỗ lực tìm giải pháp, nhằm có thể ứng dụng được trọn vẹn hiệu quả của Cysteamine vào điều trị nám.

Và cho đến nay, các công nghệ bọc là giải pháp tốt nhất được tìm thấy nhằm duy trì sự ổn định và phát huy hiệu quả của Cysteamine, đặc biệt các công nghệ bọc thuộc nhóm Nano đang được tập trung nghiên cứu và ứng dụng lâm sàng.

Cysteamine HCl (dạng muối của Cysteamine) được chọn làm thành phần trong các công thức sản phẩm bôi thoa chứa Cysteamine hiện nay. Theo 1 nghiên cứu từ ScienceDirect, Cysteamine HCl được bọc làm tăng đáng kể tính ổn định của phân tử cũng như tăng khả năng thẩm thấu của hoạt chất qua da và hoàn toàn không gây độc tế bào.

công nghệ bọc nano cysteamine
Hình ảnh minh hoạ Cysteamine dưới công nghệ bọc Nano

Việc bọc Cysteamine cũng là một cách làm tăng nồng độ của hoạt chất tại vị trí mục tiêu bằng cách cải thiện khả năng thẩm thấu, thâm nhập và phân phối hoạt chất vào sâu các lớp da.

Về bản chất, Cysteamine HCl có khả năng ức chế hoạt động của melanin và tyrosinase một cách mạnh mẽ, nhưng Cysteamine HCl nói riêng và các dẫn xuất Cysteamine nói chung vốn không thể thâm nhập vào các lớp da. Công nghệ bọc sẽ làm tăng khả năng xâm nhập của Cysteamine HCl vào da và tăng khả năng lưu giữ hoạt chất trong biểu bì.

Tuy nhiên, khi bọc Cysteamine bằng công nghệ sẽ giảm nhẹ khả năng ức chế Tyrosinase của Cysteamine, nhưng thay vào đó lại nâng cao khả năng thẩm thấu vượt trội từ đó nâng cao hiệu quả ức chế melanin nói chung.

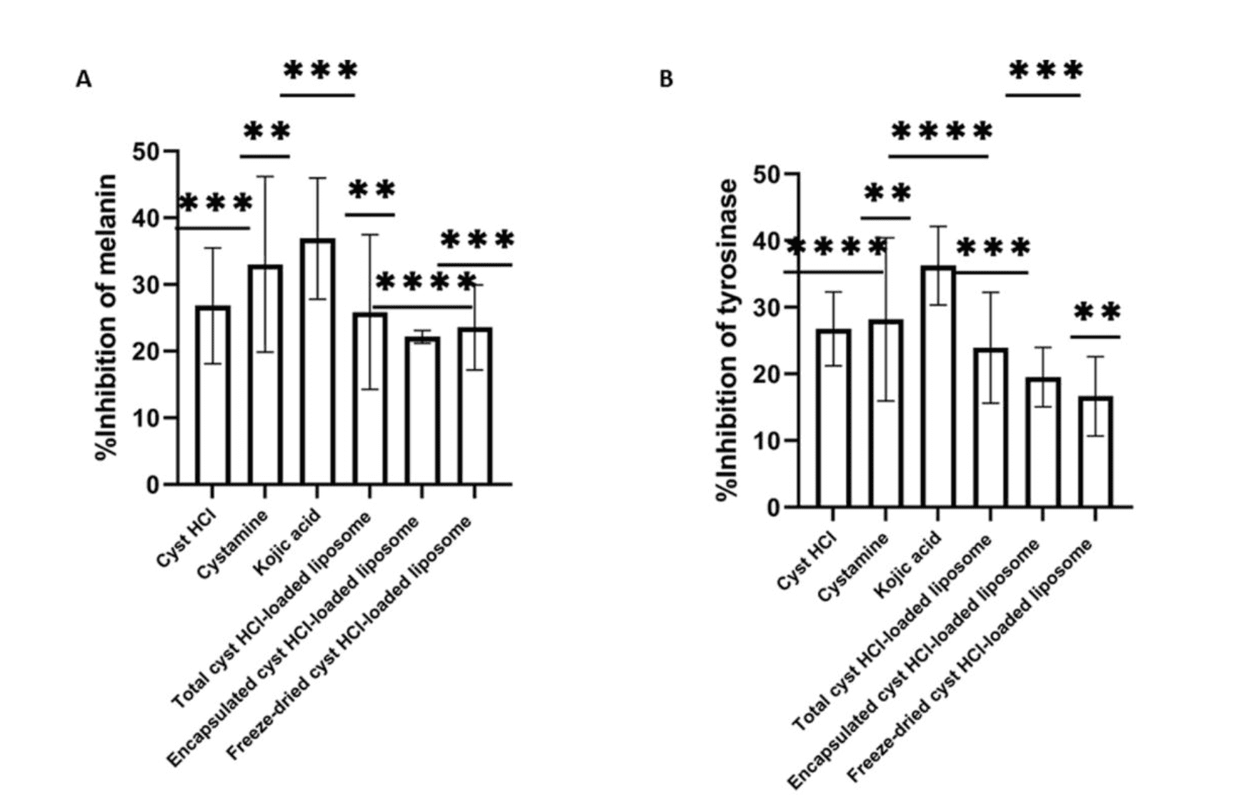
Theo báo cáo về ảnh hưởng của Liposome với Cysteamine HCl, việc bọc Cysteamine HCl bằng công nghệ Nano Liposome giúp ức chế 21% Melanin và 87% Tyrosinase, trong khi Cysteamine không bọc có khả năng ức chế 5% Melanin và 89% Tyrosinase.

Có thể thấy, việc giảm khả năng ức chế Tyrosinase không đáng kể so với khả năng tăng cường hiệu quả ức chế Melanin khi ứng dụng công nghệ bọc cho hoạt chất. Công nghệ bọc Nano vẫn là phương pháp khả quan nhất hiện nay trong việc tăng cường hiệu quả mà vẫn giữ trọn các đặc tính trong cơ chế điều trị nám của Cysteamine.

giảm sắc tố của cysteamine bọc liposome

Phạm vi ứng dụng của Cysteamine

Nhờ khả năng ức chế sắc tố mạnh mẽ cùng tính chất an toàn của sản phẩm. Cysteamine có khả năng đa ứng dụng cho nhiều bệnh lý sắc tố khác nhau, cả đơn trị liệu và đa trị liệu.

Đơn trị liệu với Cysteamine

Tác động vào 5 con đường hình thành sắc tố khác nhau. Cysteamine có thể được ứng dụng đơn lẻ trong điều trị tăng sắc tố. Nhiều nghiên cứu về Cysteamine đã cho ra kết quả khả quan khi ứng dụng điều trị Cysteamine đơn lẻ mang lại hiệu quả cao trong điều sắc tố da.

Tuy nhiên, nám da có cơ chế bệnh sinh phức tạp và nhiều con đường tác động đến quá trình hình thành nám. Vì thế, để điều trị nám hiệu quả, tùy theo tình trạng và mức độ nặng của nám, chúng ta nên điều trị kết hợp Cysteamine với nhiều phương pháp và hoạt chất khác.

Với Cysteamine đơn lẻ, sẽ phù hợp ứng dụng cho các trường hợp tăng sắc tố, thâm sau mụn và duy trì hiệu quả cải thiện sắc tố sau xâm lấn, hạn chế nguy cơ dội ngược sắc tố.

ứng dụng bôi cysteamine qua đêm trong 8 tuần
Nghiên cứu lâm sáng ứng dụng 5% Cysteamine bôi qua đêm trong 8 tuần từ tạp chí y khoa Surgical & Cosmetic Dermatology

Kết hợp Tranexamic Acid và Cysteamine

Tranexamic Acid điều trị sắc tố với cơ chế ức chế hoạt động của enzym plasmin, làm chậm việc sản sinh nội bào của Arachidonic Acid cũng như Hormone α-MSH – yếu tố kích thích tổng hợp Melanin.

Bên cạnh đó, Tranexamic có khả năng giảm viêm mạnh mẽ, hạn chế các vấn đề tăng sắc tố sau viêm. Đây là các cơ chế quan trọng và không trùng lặp với các cơ chế điều trị nám vốn có của Cysteamine.

Vì thế, Tranexamic Acid khi kết hợp với Cysteamine sẽ nâng cao hiệu quả điều trị nám mạnh mẽ. Là giải pháp phù hợp cho các tình trạng tăng sắc tố, tăng sắc tố sau viêm, dội ngược sắc tố sau điều trị laser, peel, meso, công thức Kligman hoặc lột tẩy, và có thể dùng như một giải pháp đơn trị liệu với bôi thoa, nâng cao hiệu quả điều trị nám tại nhà.

điều trị tăng sắc tố sau viêm kèm nám với kem bôi chứa Cysteamine 7.5% và Tranexamic Acid 3% sản phẩm nanomd cyntra
Case lâm sàng sau 1 tháng điều trị tăng sắc tố sau viêm kèm nám với kem bôi chứa Cysteamine 7.5% và Tranexamic Acid 3% (sản phẩm NanoMD CYNTRA) của Bevita Spa

Điều trị nám kết hợp Laser và Cysteamine

Điều trị sắc tố thì không thể không nhắc đến laser, cho đến nay laser vẫn là phương pháp điều trị sắc tố được nhiều bác sĩ lựa chọn ứng dụng. Tuy nhiên, việc duy trì hiệu quả điều trị sau laser là điều đáng lưu tâm, chưa kể đến khả năng tăng sắc tố dội ngược sau laser cũng rất cao.

Khi kết hợp laser với Cysteamine, Cysteamine sẽ giúp ngăn ngừa nguy cơ tăng sắc tố dội ngược bởi tính hiệu quả đi đôi với an toàn trong cơ chế điều trị nám của Cysteamine.

Bên cạnh đó, khả năng chống oxy hoá của Cysteamine và Glutathione nội bào được sản sinh từ Cysteamine sẽ giảm thiểu các gốc tự do và tác hại của sự tổn thương tế bào sau laser. Mang lại phác đồ điều trị sắc tố tổng thể trọn vẹn.

trị nám với laser kết hợp cysteamine và tranexamic acid trong nanomd cyntra
Case lâm sàng sau 1 tháng điều trị nám với laser và kem bôi chứa Cysteamine 7.5% và Tranexamic Acid 3% (sản phẩm NanoMD CYNTRA) của PKDL Minh Châu

Kết hợp Meso và Cysteamine điều trị nám

Meso giúp đưa các hoạt chất ức chế sắc tố đi sâu xuống màng đáy, nơi “trú ẩn” của các tế bào hắc tố Melatynocytes, giúp việc điều trị sắc tố được đánh trúng đích hơn. Khi kết hợp với Cysteamine, sẽ giúp việc duy trì hiệu quả ức chế sắc tố ổn định giữa các buổi meso và sau cả liệu trình. Tạo hiệu ứng cộng hưởng mạnh trong điều trị sắc tố.

Case lâm sàng sau 2 tuần điều trị nám với meso và kem bôi chứa Cysteamine 7.5% và Tranexamic Acid 3% (sản phẩm NanoMD CYNTRA)
Case lâm sàng sau 2 tuần điều trị nám với meso và kem bôi chứa Cysteamine 7.5% và Tranexamic Acid 3% (sản phẩm NanoMD CYNTRA) của Thanh Vinh Spa

Kết hợp Peel và Cysteamine

Đây là sự kết hợp khá hay bởi khả năng tác động vào nhiều lớp của cấu trúc da. Cysteamine sẽ tác động vào các hoạt động hoá sinh quanh tế bào sắc tố, ở màng đáy của da. Peel sẽ tác động vào tế bào sừng và loại bỏ melanin tích trữ trên bề mặt tế bào, đẩy nhanh quá trình điều trị nám. Bên cạnh đó, Cysteamine cũng được ứng dụng trong tăng sắc tố sau peel hiệu quả.

Gợi ý sản phẩm Kem hiệu chỉnh sắc tố da NanoMD Cyntra

nanomd cyntra

NanoMD là thương hiệu thuộc Công Ty Nghiên Cứu Y Khoa Boston Santé, có trụ sở tại Mỹ. Tự hào khi hợp tác với các nhà khoa học hàng đầu thế giới trong lĩnh vực: hóa học, y học, kỹ thuật sinh học…

Sản phẩm kết hợp giữa Cysteamine 7.5% nano và Tranexamic Acid 3% nano được bọc với công nghệ nano. Với nồng độ Cysteamine cao kết hợp với Tranexamic Acid. NanoMD CYNTRA sẽ tăng tác động đến nhiều con đường hình thành nám, giúp ức chế sắc tố toàn diện.

Bên cạnh đó, công nghệ bọc Nano đến từ NanoMD tạo nên sự khác biệt lớn cho hiệu quả sản phẩm. Các công nghệ bọc Nano đang được ưu tiên nghiên cứu trong việc nâng cao độ ổn định và phát huy tính thẩm thấu cũng như hiệu quả của Cysteamine.

Với công nghệ của NanoMD CYNTRA, không chỉ ứng dụng màng bọc Nano nâng cao ổn định và tính thấm cho sản phẩm. Mà bản thân các hoạt chất Cysteamine và Tranexamic Acid cũng được cắt nhỏ dưới dạng phân tử Nano. Có thể gọi công nghệ này là “Nano trong nano”, giúp nâng cao tính thấm và phát huy tối đa hiệu quả điều trị trên da.

Các ưu điểm của NanoMD CYNTRA:

  • Hiệu quả cao: Nhờ nồng độ Cysteamine 7.5% kết hợp Tranexamic Acid 3% cùng công nghệ bọc Nano giúp phát huy tối đa hiệu quả hoạt chất
  • An toàn: Nhờ ứng dụng các hoạt chất có cơ chế điều trị nám an toàn là Cysteamine và Tranexamic Acid. Bên cạnh đó, khả năng giảm viêm của Tranexamic Acid sẽ hạn chế tình trạng tăng sắc tố dội ngược sau các điều trị xâm lấn
  • Tiện lợi: Tích hợp 2 hoạt chất điều trị nám mạnh mẽ song hành, giúp bệnh nhân chỉ cần 1 bước bôi thoa mỗi ngày đã được X2 tác động. Tính tiện lợi nâng cao sẽ giúp bệnh nhân dễ dàng tuân thủ phác đồ, hạn chế tái phát cũng như tiết kiệm chi phí cho bệnh nhân.
  • Có thể sử dụng lâu dài trong nhiều giai đoạn: Khác với Hydroquinone hay công thức Kligman, Cysteamine và Tranexamic Acid trong NanoMD CYNTRA rất an toàn và có thể sử dụng cả trong giai đoạn điều trị tấn công đến giai đoạn duy trì lâu dài mà không gây độc tế bào hay nhiều biến chứng bất lợi trên da.

NanoMD CYNTRA xứng đáng là sản phẩm điều trị nám an toàn – hiệu quả – bền vững trong phác đồ của các bác sĩ.

Mời bạn xem thêm: Review Kem trị nám NanoMD® CYNTRA™ cải thiện nám sau 8 tuần

Kết luận cơ chế hoạt động của Cysteamine

Cơ chế hoạt động của Cysteamine trong điều trị nám xứng đáng có nhiều triển vọng trong tương lai, mang đến một liệu trình điều trị sắc tố hiệu quả – an toàn – tiện lợi. Tuy nhiên, cần phải chọn hoạt chất Cysteamine có công nghệ tốt để đạt được hiệu quả điều trị như mong đợi.

Quý bác sĩ cần tư vấn thêm về sản phẩm NanoMD CYNTRA, xin mời để lại thông tin bên dưới:







    *Bài viết thuộc quyền sở hữu của Công Ty TNHH TM XNK The Vigo, vui lòng không copy sử dụng cho mục đích thương mại dưới mọi hình thức

    Nguồn: hal.science, mdpi.com, sciencedirect.com, dermatologytimes.com, pubmed.

    Tin tức liên quan

    Hướng dẫn ứng dụng kem Cyntra trong phác đồ điều trị nám/tăng sắc tố

    Hướng dẫn ứng dụng kem Cyntra trong phác đồ điều trị nám/tăng sắc tố

    Cách chăm sóc da sau Laser nám để tăng hiệu quả, ngăn tái phát tối đa

    Cách chăm sóc da sau Laser nám để tăng hiệu quả, ngăn tái phát tối đa

    Cách thiết kế phác đồ điều trị nám mảng, nám chân sâu, nám nội tiết

    Cách thiết kế phác đồ điều trị nám mảng, nám chân sâu, nám nội tiết

    TẤT CẢ SẢN PHẨM TẤT CẢ SẢN PHẨM TẤT CẢ SẢN PHẨM TẤT CẢ SẢN PHẨM TẤT CẢ SẢN PHẨM TẤT CẢ SẢN PHẨM